PSS Study
In the tuning study IEPC Energy will determine the PSS settings, based on the system, generator and AVR settings.
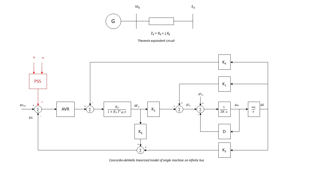
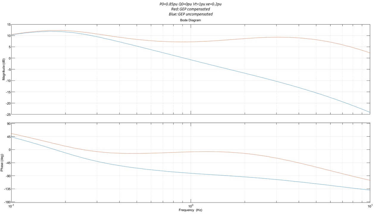
The phase compensation will be determined using the GEP method, the optimum PSS gain will be first evaluated using the root locus method and then confirmed by time domain simulation.
Usually for a PSS study a single machine connected to an infinite bus is considered.

PSS testing
IEPC Energy has a large experience with PSS testing, the tests are usually done with unit near maximum load.
The typical tests performed for PSS are:
– gain margin, to confirm the PSS gain
– voltage step test with and without PSS
– voltage impulse test with and without PSS
Additional testing on customer request:
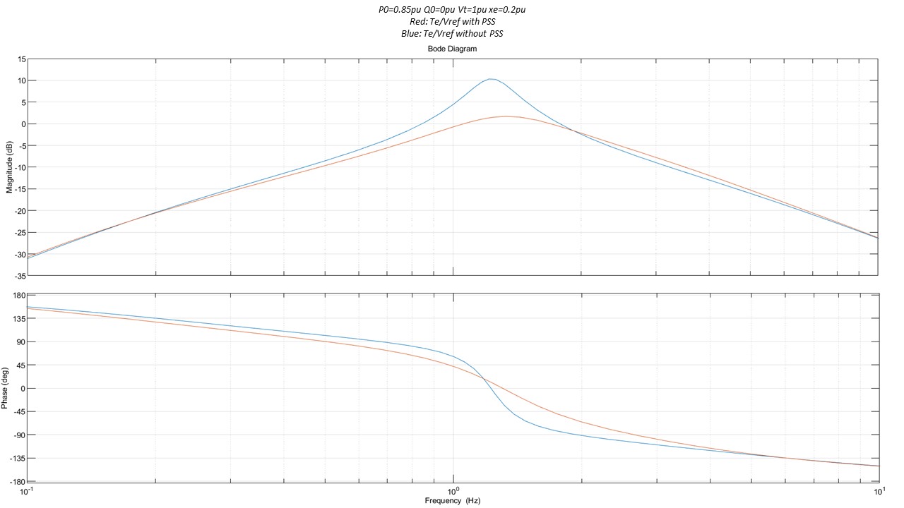
Transfer function
– Te/Vref with and without PSS
– LeadLag_output/Vref with PSS gain set to 0
– Vt/Vref without PSS



